calculo de longitud de una curva
longitud de arco
si se tiene una funcion derivable en un intervalo (a,b) entonces podemos medir la longitud de la grafica en este intervalo. esta longitud se conoce como longitud de arco de la curva f(x)
La longitud de arco o uma porcion de la circunferencia de un circulo, la longitud de
arco esta directamente relacionada con la medida del arco de grado
Derivamos la función X 3/2

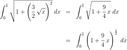
2Sustituimos en la fórmula de longitud de arco

3Resolvemos la integral

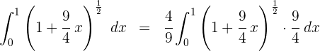
4Completamos la integral
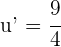
5Hacemos
, luego su derivada es
. Resolvemos la integral de la función potencia

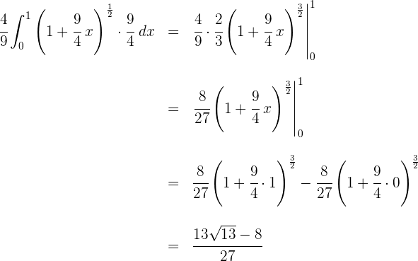
6Así, la longitud de arco es

bibliografia
Comentarios
Publicar un comentario